電流互感器和電壓互感器測量需要精確的比例電流和電壓轉換
這些電流互感器和電壓互感器旨在滿足測量和儀表系統的特定需求,這些系統接受0-120 V范圍內的電壓和高達5 A的電流。電力系統電壓可高達750 kV,電流高達幾十kA。它們的測量需要精確的比例電流和電壓轉換,這是通過電壓互感器和電流互感器完成的。
一、電壓互感器(PT):
它必須在幅度和相位上準確地將輸入電壓轉換為輸出電壓。測量系統上的儀器對變壓器輸出端的阻抗稱為負荷。它本質上主要是電阻性的并且具有很大的值,例如電壓表的阻抗(實際上是電阻)。PT的電路模型如圖所示。它與普通變壓器相同,但理想情況下應具有

負載汲取的電流會導致(R 2+j X 2)中的電壓下降,并且這個參考初級電流加上磁化電流(所有相量)會導致(R 1+jX 1)中的電壓下降。因此,V 2/V 1在幅度和相位上與期望值(N 1/N 2)不同,從而導致幅度和相位誤差。誤差應保持在所需精度定義的范圍內。為了實現這一點,PT被設計和連接成具有低漏抗、低損耗和高磁化電抗(低磁化電流)。
通過在核心肢體上交錯初級和次級來實現低電抗。高磁化電抗需要最小的鐵路徑和高磁導率鋼。低損耗需要低損耗。鋼和非常薄的疊片。對于低PT錯誤,最重要的是使負擔(Z b)盡可能高。
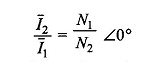
二、電流互感器(CT):
它是一種電流比變壓器,用于測量大電流,并為電流表等電流測量儀器提供降壓電流。此類儀器會導致CT次級短路。這意味著負載Z b≈0。理想的CT電流比為

CT錯誤的原因及其補救措施與本節前面討論的PT相同。
在電力系統應用中,CT有一個單匝初級,即線路本身,如圖3.71所示。次級的額定電流為1-5 A。
負載阻抗(實際上是電阻性的)不能超過限制。使用CT時最重要的預防措施是在任何情況下都不應將其開路(即使是意外)。由于初級電流與次級電流無關,所以當次級打開時,所有這些電流都充當磁化電流。這會導致鐵芯深度飽和,無法恢復到正常狀態,因此CT不再可用


